① 无油螺杆空压机工作原理分析
空气压缩机等温压缩时最省功,所消耗的电能主要转化为空气的压缩势能,可按式(1)进行计算:
Pin=mRgT01n(P2 /P0)+P 幅+P 传动(1)
Pin=ρQRgT01n(P2 /P0)+P 幅+P 传动(2)
式中:
m—空压机的空气质量流量,kg/s;
Rg—气体常数,空气为287J /(kg·K);
T0—吸气温度,K;Q—气体体积流量,m3/s;
P0—吸气压力,Pa;P2 —排气压力,Pa;
P 幅—空压机的热辐射耗功,Pa;
P 传动—空压机的传动耗功,W;
ρ———空气密度,kg/m3。
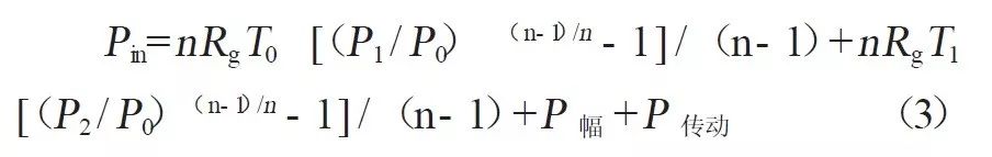
由于没有喷油的冷却作用,无油螺杆空压机的工作过程近似为绝热压缩过程。有级间冷却的两级无油螺杆压空机,相对省功。含有水套或油套的螺杆主机,工作过程指数略低于等熵绝热指数,约为1.3。空压机功耗可按式(3)计算:

式中:
n—过程指数;
Rg ———气体常故,空气为 287J /kg·k
T0,T1— 一、二级吸气温度,K;
P0 — 一级吸气压力,Pa;
P1,P2— 一、二级排气压力,Pa;
P 幅—空压机的热辐射功耗,W;
P 传动—空压机的传动功耗,W。
无油螺杆空压机相对于喷油空压机,更具有余热回收的潜能。
由于没有油的冷却作用,使得压缩过程更偏离等温压缩,而导致大部分的功率转化成压缩空气的压缩热,这也是导致无油螺杆空压机排气温度过高的原因。将这一部分热能回收,用于用户的工业用水、预热器和浴室用水等,将会大大降低工程的能源消耗,从而实现低碳和环保。

由上图可以看出,理论上水冷无油螺杆空压机的产热可以100%进行回收。
② 无油螺杆空压机余热回收

如图所示,冷水依次经过油冷却器,高压压缩系统,低压压缩系统,中间冷却器以及后冷却器进行换热,其中,油冷却器须加大。